在星际介质中,有机分子扮演着重要且复杂的角色。碳氢化合物分子作为最简单的有机物分子,在20世纪70年代被发现在星际介质中广泛存在。小型不饱和碳氢化合物分子,如C2H,C2H2,C4H,C6H,l-C3H2和c-C3H2,对于形成大型有机分子至关重要。由于具有永久偶极矩和相对较高的丰度,C4H和c-C3H2可以在温度为10 K左右的冷云核中形成。C4H和c-C3H2的丰度比例为我们提供了关于碳氢化合物分子独特的物理化学信息。小型不饱和碳氢化合物分子在冷核中的分布对于理解其他有机分子也至关重要。然而,有关C4H和c-C3H2在冷云核中的空间分布和丰度的研究非常有限。
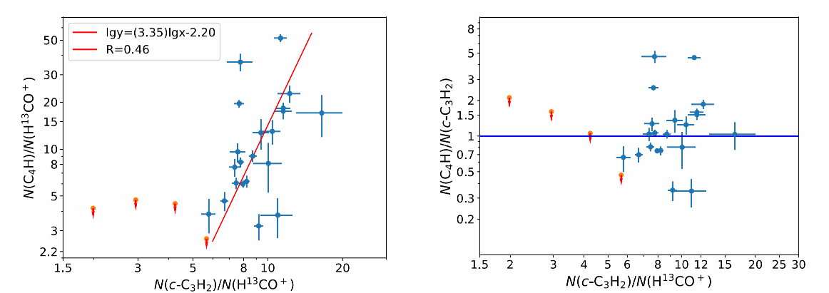
为了深入理解C4H和c-C3H2之间的关联,m88汤宁宇特任教授领导的星际介质演化课题组与广西大学王均智教授紧密合作,对一批普朗克冷云核中的C4H和c-C3H2进行了成像观测,研究了不同分子之间的空间分布和相对丰度的关系。通过分子的相对丰度和成像信息,结合化学模型,发现这两种分子丰度之间的相关性较低。一种解释是,这两种分子的化学反应网络不存在紧密的联系。这项研究成果已经发表在天文国际期刊《Astrophysical Journal》上。
该工作的第一作者是公司22级硕士研究生刘怡嘉,通讯作者为汤宁宇特任教授。m88官网为论文第一完成单位。论文的合作单位包括广西大学、中国科公司国家天文台、德国马克斯普朗克研究所和中国科公司上海天文台。该研究基于IRAM 30米望远镜观测的016-12项目,得到安徽省高校优秀青年科研项目、之江实验室开放研究课题等基金的资助。
论文链接:https://doi.org/10.3847/1538-4357/ad47a3

图1 C4H 9-8和c-C3H2 2-1在G001.38+20冷云核中的空间分布和谱线

图2 C4H和c-C3H2相对丰度之间的关系