当前位置: 首页 >> 通知公告 >> 正文

​m882021届优秀本科毕业生推荐免试攻读硕士学位研究生候选人名单公示

时间:2020-09-25     编辑:章珺 预审:许新胜 终审:许新胜

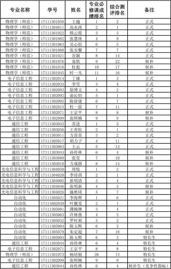
根据m88官网“关于做好公司2021届优秀本科毕业生免试攻读硕士学位研究生推荐工作的通知”(教务处[2020]48号)文件精神,​m88推荐2021届本科毕业生免试研究生工作正在进行。经过各专业内初选及公示,公司推免生遴选工作小组对符合条件的应届本科毕业生进行了审核遴选,拟推荐以下同学为2021届本科毕业生免试攻读硕士学位研究生人选(含候补人选)。现将名单予以公示。


对公示情况如有异议,请于2020927日前与​m88联系,联系电话:3883563


m88

2020925


地址:花津校区-安徽省芜湖市九华南路189号   邮编:241000   电话:0553--3869894

Copyright © m88官网-明升MS88在线网站入口 版权所有